無人駕駛智能車導航系統控制研究

時間:2018-12-27

來源:中國無人駕駛網

0

導語:在智能車實際運動特性優化控制的研究中,由于傳統非線性算法難以適應無人駕駛智能車實際運動特點的問題,提出一種基于交互式多模型(IMM)帶衰減因子的自適應無跡卡爾曼濾波(UKF)方法。

1 引言

導航是智能車領域中基本問題,其任務是利用傳感器獲得的量測信息,對智能車當前位置進行精確的估計。智能車正常行駛中,動態模型通常都是在笛卡爾坐標系下建立的,而全球定位系統(Global Positioning System,GPS)量測值都是以極坐標形式表示,因此,智能車位置估計也就變為一個非線性估計問題[1-3]。

當模型中的非線性因素不可忽略時,通常采用非線性濾波進行狀態估計。應用較廣泛的方法是擴展卡爾曼濾波器(Extended Kalman filer,EKF)[4-5],這種方法存在線性化誤差大、雅可比矩陣難于計算等缺陷,濾波不穩定,甚至發散[6-7]。S.J.Juliear和J.K.Uhmann在1997提出基于無跡(Unscented,UT)變換的無跡卡爾曼濾波(UnscentedKalman Filter,UKF),其均值和協方差的估計比EKF方法要精確[7]。

UKF雖然克服了EKF存在的一系列問題,但系統噪聲相關信息的不確定性以及狀態模型擾動等都會影響UKF的濾波精度。鑒于此,本文提出了一種帶衰減因子的自適應無跡卡爾曼濾波算法(IMM—AFUKF),該算法基于交互式多模型結構(Interacting multiple mode,IMM) [3],克服了模型不確定性因素的影響,并引入衰減因子及自適應漸消因子[3]來修正預測誤差協方差,調整濾波增益,減弱舊數據對濾波的影響,從而消除濾波的發散現象。最終得到具有更高精度、更強抗擾動能力的濾波器,以滿足無人駕駛智能車控制系統的需求。

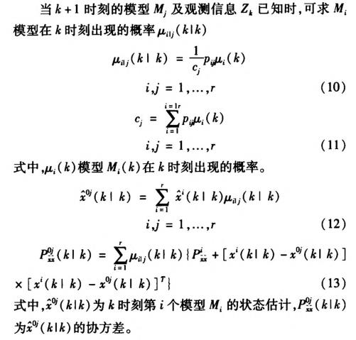
2 智能車導航系統控制原理

2.1無人駕駛智能車控制系統

本文以北京工業大學無人駕駛智能車BJUT—IV為對象,研究其位置估計問題。BJUT—IV控制系統包含三大模塊:環境感知模塊,決策模塊,底層控制模塊,如圖1所示,其中環境感知模塊主要包括車外環境感知模塊、導航定位模塊、車體信息模塊。其中導航定位模塊提供車輛在全局地圖中的位置和速度,用于全局路徑規劃、路徑跟蹤,是否能提供快速、準確、可靠的導航信息直接決定上位機的決策的正確性,并最終影響底層控制的效果。

無人駕駛智能車導航系統控制研究

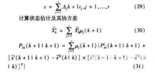
2.2導航系統車體位置模型

BJUT—IV采用GPS作為導航系統,GPS輸出坐標為ECEF坐標系統下的經度、緯度、高度,并不適合于平面運動的車輛導航。本文采用通用橫軸墨卡托坐標系(Universal Transverse Mercator,UTM)將經緯度轉化到平面坐標系,如圖2所示UTM坐標系統原理。在實際應用中,UTM坐標的轉換公式較為復雜,且在系統中有實時性的要求下很難達到,因此本文采用經過簡化處理的一組UTM坐標轉換公式[8-9],篇幅限制不再贅述。將坐標原點o定于北緯39.8719,東經116.4789,車體位置相對坐標原點關系如圖3所示。


無人駕駛智能車導航系統控制研究
無人駕駛智能車導航系統控制研究

在直角坐標系下,車輛所處位置的方位角、斜距之間關系為

無人駕駛智能車導航系統控制研究

BJUT—IV的主要運動方式為勻加速行駛、勻速行駛、勻速水平轉彎,本文在不影響實際模型精度的情況下將勻速水平轉彎運動狀態近似為勻速行駛狀態。BJuT—IV行駛軌跡水平高差均值為41.6/m,無明顯高差,因此車輛縱向運動軌跡問題本文不加考慮。

為驗證提出的帶衰減因子的自適應濾波算法IMM-AFUKF的性能,文章第四部分將其與基于IMM模型的UKF濾波算法、基于勻加速運動模型(CA)的EKF濾波算法進行了仿真及實驗的對比和分析。

2.3導航系統運動控制模型

根據智能車的運動狀態與典型模型匹配程度及其復雜性,本文選擇兩個典型的二維智能車運動控制模型建立IMM模型組,分別為勻速運動控制模型(Constant Velocity,CV)、勻加速運動控制模型(Constant Acceleration,CA)[10-11]。

智能車運動學模型可表示為

無人駕駛智能車導航系統控制研究

勻加速模型(Constant Acceleration,CA)取狀態變量X

無人駕駛智能車導航系統控制研究

為狀態轉移陣,其它參數設置同上。

2.4濾波器量測模型

量測方程可由下式給出

無人駕駛智能車導航系統控制研究

2.5智能車導航系統技術難點

導航定位模塊中GPS提供的速度、位置、航向等導航定位信息本身帶有噪聲,且由于環境因素會產生較大誤差,需通過濾波器濾波后發,發送至決策計算機進行決策并完成車體控制。

因此,研究具有更高性能的濾波器意在為車輛控制系統提供更快速、準確而穩定的地理位置及速度信息。進一步講,濾波器的性能直接決定了導航定位系統的性能,并最終影響車體控制。所以,對于濾波器的優化在導航定位系統乃至車輛控制系統中具有十分重要的意義。

現階段導航系統中,針對濾波器的研究仍然存在以下幾個難點問題:①實際路況中,存在大量非線性因素:智能車導航系統中濾波器普遍采用的擴展卡爾曼算法(EKF) [8],該算法雖能實現非線性濾波,但是濾波精度已無法滿足智能車導航的需求;②實際車況下,車輛運動狀態多變:目前采用無跡卡爾曼濾波(UKF)或UKF的優化算法[7],在精度上較傳統的EKF有較大提高,但對于所提出的濾波算法的驗證局限于理想化的仿真模型,依舊無法與真正智能車行駛狀態相匹配;③由于真實路況下噪聲干擾,會造成濾波效果降低甚至發散:鑒于車輛行駛狀態的多變性,有學者提出采用交互式多模型(IMM)來逼近車輛真實狀態[15],取得較好濾波效果,但算法不具有自適應性,且歷史數據對濾波影響較大。因此,如何找到一種高精度的,可靠的,具有自適應性且能與無人駕駛智能車導航系統相匹配的濾波算法,仍然是現階段工作的技術難點。

3 多模型無跡卡爾曼濾波算法

3.1算法原理

模型的匹配性不佳和噪聲統計特性的不準確經常導致UKF濾波性能降低[12-13],為了解決這一問題,本文引用自適應UKF濾波(Adaptive UKF,AUKF),該方法通過自適應漸消因子來平衡狀態方程、預測信息與觀測信息的權重,能實時地對模型誤差和噪聲統計特性進行估計并修正,較好地抑制模型誤差對導航解的影響,從而提高UKF的估計精度[14]。同時,加入衰減因子(Fading factor)[15-16],加大當前觀測量的作用,減小歷史觀測值的影響,達到抑制濾波發散目的。AFUKF有效克服了噪聲及與模型不匹配的不足問題,但對模型描述準確性仍要求較高,引入交互式多模型算法(IMM)可較好解決此問題。IMM包含多個濾波器、模型概率估計、交互作用器、狀態估計混合器,基本原理為:通過建立不同的模型來描述系統可能的運動模態,模型間的切換由基于馬爾可夫鏈的轉換概率控制,對每個模型采用獨立的AFUKF,以模型轉移概率加權后的交互值作為濾波迭代輸入。通過輸出殘差不斷更新模型概率,對多個濾波器進行融合,使其盡可能地接近那個最能反映實際系統行為方式的模型濾波輸出。AFUKF是UKF的優化,作為IMM結構中的并行濾波器,以下稱為IMM-AFUKF算法,結構示意圖4所示。

無人駕駛智能車導航系統控制研究

3.2算法流程

IMM—AFUKF算法具體步驟如下所示:

步驟1:計算混合概率系統非線性隨機的狀態空間模型為

無人駕駛智能車導航系統控制研究
 

步驟2:交互/混合

無人駕駛智能車導航系統控制研究

步驟3:模型濾波

無人駕駛智能車導航系統控制研究
無人駕駛智能車導航系統控制研究
無人駕駛智能車導航系統控制研究
無人駕駛智能車導航系統控制研究

4 仿真分析及實驗

4.1仿真及實驗分析

實驗室的智能車輛實驗平臺安裝應用載波相位技術的差分GPS(DGPS),設備組為FlexPak-G2系列GPS接收處理機和GPS-702-GG接收天線及PDL4535數傳電臺。設備實物如圖5所示,GPS-702-GG接收天線關鍵參數如表1所示,FlexPak-G2系列GPS接收處理機關鍵參數如表2所示。

無人駕駛智能車導航系統控制研究
無人駕駛智能車導航系統控制研究
無人駕駛智能車導航系統控制研究

從仿真路徑圖中可看出,IMM-AFUKF與真實路徑最接近,誤差最小,CA-EKF,IMM-UKF均在彎道處理方面較為遜色。

同時,實驗的采用均方根誤差(Root mean square error,RMSE)定量分析并衡量算法優越性[1-3],其定義為

無人駕駛智能車導航系統控制研究
無人駕駛智能車導航系統控制研究

其中,n=500。RMSE越小,說明所采用的算法與真實值的誤差越小;運行時間越短,說明算法的計算量越小,在實際應用中數據輸出速度越快。圖7~12為采用三種濾波方法位置、速度、加速度均方根誤差曲線比較,表3為三種濾波算法均值和均方根誤差統計數據。

無人駕駛智能車導航系統控制研究
無人駕駛智能車導航系統控制研究
無人駕駛智能車導航系統控制研究

無人駕駛智能車導航系統控制研究

從仿真結果及性能統計值比較可以看出,在仿真的初始時刻,濾波器都有較大的初始偏差,這是由于初始估值造成的。隨著濾波的進行,IMM-AFUKF算法能很快地收斂到真值位置附近,并保持較高的濾波精度。IMM-AFUKF算法較IMM-UKF、CA-EKF算法提高了解算精度及收斂速度,狀態估計也更接近于真實狀態,且增強了數值穩定性,其中IMM-AFMUKF算法的位置和速度的均方根誤差明顯小于標準IMM—UKF算法。究其原因,主要在于IMM-AFUKF算法引入了衰減因子,加大了對新測量值的利用權重,減少了對陳舊測量值和初始估值的依賴,同時增加自適應漸消因子,能夠較好的抑制初始值偏差和模型異常擾動誤差對導航解的影響,使算法具有一定的自適應能力。因此,IMM-AFUKF算法有效的控制了初始值偏差、模型異常擾動誤差、以及未知噪聲對濾波解的影響。

4.2實車實驗

本文以北京工業大學無人駕駛智能車BJuT-IV為實驗對象如圖13所示,研究其行駛軌跡的跟蹤問題。

無人駕駛智能車導航系統控制研究

BJUT-IV由高爾夫球電動車經過對電控系統的改裝而成。BJUT-IV采用GPS作為導航系統,并用UTM將經緯度轉化到平面坐標系,重新定義坐標原點O于北緯39.8719,東經116.4789即圖14中N8點為原點。BJUT-IV控制系統以Microsoft VS2008為軟件開發平臺,編寫了導航與定位系統軟件,利用此軟件平臺進行實驗驗證,用以檢驗IMM-AFUKF算法在智能車導航系統中的可靠性。實驗分別采用KF(綠色軌跡)、IMM-UKF(黃色軌跡)、CA-EKF(藍色軌跡)、IMM-AFUKF(紅色軌跡)對實際道路采樣點進行濾波估計(橙色軌跡代表真實道路)。取智能車的運動參數(位置、速度、加速度)作為系統的狀態變量,采用東北天坐標系。

無人駕駛智能車導航系統控制研究

實驗車輛沿道路車道線線行駛,根據實際情況做變速及勻速運動。實車實驗結果表明,IMM-AFUKF算法較其它算法更準確、穩定;且在車輛轉彎時性能更加突出,如圖14中N10點和N9點彎道放大圖所示,紅色軌跡(IMM-AFUKF)幾乎與橙色軌跡(實際道路)重合,黃色軌跡(IMM-UKF)與綠色軌跡(KF)均與實際行駛軌跡有較大偏差且有較大滯后性。所提出算法更貼切的反應車輛實際行駛軌跡,該實驗結論與仿真結果一致,再次驗證所提出算法優越性。

5結束語

在北京工業無人駕駛智能車BJUT-IV導航系統中,UKF處理非線性問題較EKF性能優越,然而,UKF算法對模型匹配度要求較高、受系統噪聲影響較大,且對初始值較敏感,為此,本文在UKF中引入衰減因子及自適應漸消因子,并結合IMM濾波結構,提出了一種針對BJUT-IV導航系統的濾波算法IMM-AFUKF。理論分析、仿真、實車實驗結果均表明,IMM-AFUKF算法的濾波精度、穩定性、收斂速度都明顯優于標準IMM-UKF及EKF算法,具有較高實用價值。

該算法改善了導航系統精度,為上位機的控制決策提供良好的導航信息數據,將無人駕駛智能車控制系統整體性能進行了提升。為進一步改進IMM-AFUKF對初始值過于敏感等情況,需要在魯棒性方面做進一步的探討;并需克服模型轉換時濾波精度降低的問題,以上兩點將作為后續工作重點。

參考文獻:

[1]楊柳.改進卡爾曼濾波的目標跟蹤研究[J]·計算機仿真,[J] 2010—9:351—355.

[2]付夢印,鄧志紅,張繼偉.Kalman濾波理論及其在導航系統中的應用[M].北京:科學出版社,2003.

[3]秦永兒,張洪城,汪叔華.卡爾曼濾波與組合導航原理[M].西安:西北土業大學出版社,1998.

[4]Yang Yuanxi,Gao Weiguang.A new learning statimic for adaptive filter based on predicted residuals[J].Progress in Natural SCience,2006—8:833—837.

[5]Cui Xianqiang and Yang Yuanxi.Adaptively robust filtering with classified adaptive factors[J].Progress in Natural Science,2006—8:846—851.

[6]Gao Sheshenga,Gao Yia,Zhong Yongminb,Wei Wenhuia.Random Weighting Estimation Method for Dynamic Navigation Positioning[J].Chinese Journal of Aeronautics,2011—3:318—323.

[7] 黃銚,張天騏,高清山,李越雷.一種提高無跡卡爾曼濾波精確度的方法[J].計算機仿真,2010,03:348—352.

[8] 王凡.智能車輛中基于GPS和陀螺儀的導航與定位[D].北京工業大學。2013.

[9] 王凡.智能車輛中基于GPS和陀螺儀的導航與定位[D].北京工業大學。2013.

[10] 潘泉,劉剛.聯合交互式多模型概率數據關聯算法[J].航空學報,999,(3):234—238.

[11]You Lilan,bu Dajie,Huang Jian,Liu Xue,Zhou Kechang.The Mathematic Models of the Kalman Filtering for Across—Fault Measurement[J].Earthquake Research in China,1994—3:92—103.

[12] 范韜,茅旭初.基于非線性濾波算法的高動態GPS定位模型[J].計算機仿真,2011—10:66—69.

[13] Liu Ye,Yu Anxi,Zhu Jubo,Liang Diannong.Unscented Kalman filtering in the additive noise case[J].Science China(Teehnological Sciences),2010-4:929—941.

[14] Hu Hmdong and Huang Xianlin.SINS/CNS/GPS integrated navisanon algorithm based on UKF[J].Journal of Systems Engineering andElectronics.2010一1:102—109.

[15] 陸可,肖建.IMM算法實現非線性狀態估計的研究與仿真[J].計算機仿真,2008—5:77—80,104.

[16]Yang Yuanxi,Gao Weiguang.An optimal adaptive Kalman filter[J].Journal of Geodesy,2006,80(4):177 183.

[17]夏啟軍,孫優賢,周春暉.漸消卡爾曼濾波器的最佳自適應算法及其應用[J].自動化學報,1990—3:210—216.

低速無人駕駛產業綜合服務平臺版權與免責聲明:

凡本網注明[來源:低速無人駕駛產業綜合服務平臺]的所有文字、圖片、音視和視頻文件,版權均為低速無人駕駛產業綜合服務平臺獨家所有。如需轉載請與0755-85260609聯系。任何媒體、網站或個人轉載使用時須注明來源“低速無人駕駛產業綜合服務平臺”,違反者本網將追究其法律責任。

本網轉載并注明其他來源的稿件,均來自互聯網或業內投稿人士,版權屬于原版權人。轉載請保留稿件來源及作者,禁止擅自篡改,違者自負版權法律責任。

如涉及作品內容、版權等問題,請在作品發表之日起一周內與本網聯系,否則視為放棄相關權利。

關注低速無人駕駛產業聯盟公眾號獲取更多資訊

最新新聞