智能無人駕駛汽車發動機故障檢測方法研究

時間:2018-12-05

來源:中國無人駕駛網

0

導語:提出一種基于多陣元超聲換能波束指向性分析的智能無人駕駛汽車的發動機故障檢測算法。針對傳統方法的缺點,進行算法改進,提高對發動機的故障檢測性能,系統測試和仿真實驗驗證了本文故障檢測算法的優越性能。

0 引言

智能無人駕駛汽車是近幾年來新興產物,智能無人駕駛汽車通常是指無人駕駛、自主推進,由無線電遙控或自身程序控制進行自主導航的汽車。智能無人駕駛汽車通常應用在科考探險、星球探測、作戰情報搜集等領域中。當前服役的智能無人駕駛汽車主要有:MQ-1 Predator “捕食者”、MQ-9 Reaper “收割者”、RQ-4Global Hawk “全球鷹”等。智能無人駕駛汽車由于其設計成本低、無人員傷亡風險、生存能力強、機動性能好等特點被廣泛應用在軍事領域和科研領域,也是未來汽車制造業的發展方向。智能無人駕駛汽車工作環境惡劣,工作環境溫度變化異常,比如在極地探險和月球探測等應用領域中,工作環境溫度在零下幾十攝氏度,發動機運行狀態受到環境溫度的沖擊較大,容易產生故障,研究智能無人駕駛汽車發動機的故障檢測優化方法,具有重大的實際價值和意義 [1] 。

傳統方法中對智能無人駕駛汽車發動機故障診斷方法采用機械振動系統信號分析算法,對于智能無人駕駛汽車發動機低噪聲、低振動工作條件下故障檢測效果不好。提出一種基于多陣元超聲換能波束指向性分析的智能無人駕駛汽車的發動機故障檢測算法。針對傳統方法的缺點,進行算法改進,提高對發動機的故障檢測性能,系統測試和仿真實驗驗證了本文故障檢測算法的優越性能。

1 發動機故障檢測信號模型構建與數學模型生成

1.1 發動機構造與故障檢測研究背景

智能無人駕駛汽車發動機故障檢測和診斷的根本原理是通過有效檢測發動機的有關參數并進行信號與信息的處理和分析,實現對智能無人駕駛汽車發動機的運行狀況、故障種類、故障原因部位和趨勢的識別和判斷。智能無人駕駛汽車發動機屬于高精密儀器 [2-5] ,本文研究的智能無人駕駛汽車發動機構造結構如圖1所示。該型智能無人駕駛汽車發動機屬于精密合金材料制成,制造的難度大價格高,因此需要采用無損檢測的方法進行故障檢測 [6] 。而常規的檢測方式無人駕駛汽車發動機監測,超聲波檢測以及射線檢測法等手段,不能很好的在現代航空發動機的葉片體積小通路復雜的情況下進行較好的故障檢測。

智能無人駕駛汽車發動機故障檢測方法研究

通過整個區域的紅外亮點分布來判斷是否出現涂層的裂紋或者剝落情況的發生。航空發動機的冷卻通道是在葉片內部的通路,通過引入冷卻氣體,使得葉片的溫度不至于過高,而在實際使用過程中可能會出現通道的堵塞,使得整個葉片的散熱不暢,致使葉片過熱造成整個智能無人駕駛汽車發動機空發動機出現故障。

1.2 智能無人駕駛汽車發動機故障信號模型

通過上述分析和結構模型設計可見,對智能無人駕駛汽車發動機的故障檢測需要構建發動機故障信號模型,設計有效的發動機故障檢測算法。在發動機故障特征搜索過程中,最核心的內容是搜索發動機運行特征,并且將這些特征構成一個數據集合。設置發動機全部特征的數量能夠用 q 進行描述,該集合中元素的數目能夠用 r 進行描述,根據上述數據可以建立一個矩陣,其公式如下所述:

智能無人駕駛汽車發動機故障檢測方法研究

上述矩陣中的每個元素都用來描述發動機故障特征的參數,根據上述矩陣,可以得到無人駕駛汽車發動機特征的相關數據。

本文用李普希茲指數來描述函數的局部奇異性:

智能無人駕駛汽車發動機故障檢測方法研究

基于多陣元超聲換能波束指向性分析,得到該陣元故障特征表達式:

智能無人駕駛汽車發動機故障檢測方法研究

利用下述公式可以進行智能無人駕駛汽車的發動機的故障特征提?。?/p>

智能無人駕駛汽車發動機故障檢測方法研究

根據上面闡述的方法,能夠進行無人駕駛汽車發動機故障特征提取和信號模型構建,從而為故障檢測和挖掘提供依據。

2 基于多陣元超聲換能波束指向性分析故障檢測算法

在上述模型構建的基礎上,本文提出一種基于多陣元超聲換能波束指向性分析故障檢測算法,實現對故障檢測算法的改進。

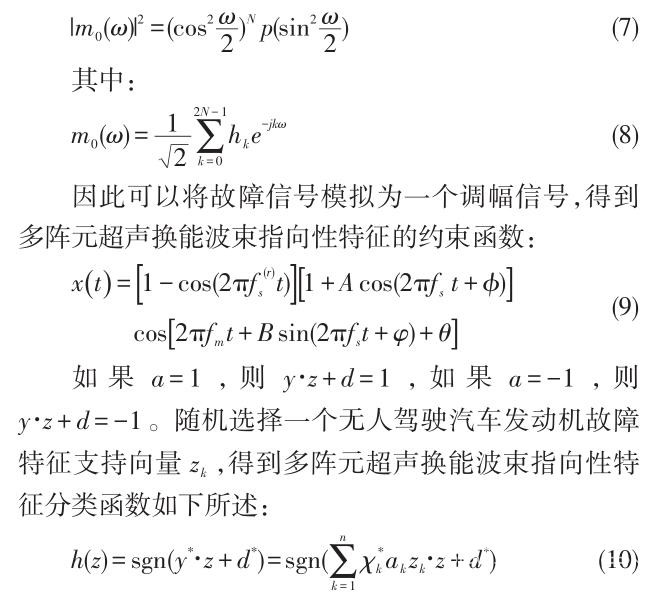
多陣元超聲換能波束指向性故障特征構成的集合可以用 {(zk ,ak ) } 表示,根據下述公式能夠對上述發動機故障特征進行初始分類:

智能無人駕駛汽車發動機故障檢測方法研究
智能無人駕駛汽車發動機故障檢測方法研究

通過上述算法改進設計,提高了對發動機故障檢測性能,最后在提取故障特征的基礎上進行專家系統識別和故障分類診斷,最終實現診斷決策,通過仿真實驗進行性能驗證。

3 仿真實驗與結果分析

最后,為了驗證本文提出的基于多陣元超聲換能波束指向性分析的智能無人駕駛汽車的發動機故障檢測算法的性能,進行一次仿真實驗。實驗中,構建多陣元超聲換能波束面,構建故障檢測診斷系統。采集到的無人駕駛汽車發動機故障特征數據如圖2所示。

智能無人駕駛汽車發動機故障檢測方法研究

最后在提取故障特征的基礎上進行專家系統識別和故障分類診斷,最終實現診斷決策,進而實現故障檢測數據分析,得到發動機的故障檢測結果如圖3所示,從圖3可見,采用本文方法,能準確實現對發動機各種故障類型的判別和數據分析,故障數據聚類性能較好,檢測性能較傳統方法提高43%,具有較好的應用價值。

智能無人駕駛汽車發動機故障檢測方法研究

4 結論

通過對智能無人駕駛汽車的發動機故障檢測算法的改進提高對發動機故障的診斷能力。傳統方法中對智能無人駕駛汽車發動機故障診斷算法采用機械振動系統信號分析算法,對于智能無人駕駛汽車發動機低噪聲、低振動工作條件下故障檢測效果不好。提出一種基于多陣元超聲換能波束指向性分析的智能無人駕駛汽車的發動機故障檢測算法。進行發動機故障檢測信號模型構建,提取多陣元超聲換能波束指向性特征,實現故障檢測。最后在提取故障特征的基礎上進行專家系統識別和故障分類診斷,最終實現診斷決策。仿真結果表明,本文算法能準確實現對發動機故障的診斷和判別,檢測性能提高明顯,展示了較好的應用價值。

參考文獻:

[1] 繆鵬程,米小兵,張淑儀等.超聲紅外熱像檢測中缺陷發熱的瞬態溫度場的有限元分析[J]. 南京大學學報(自然科學), 2005, 41(1):98-104.

[2] 徐子豪,張騰飛.基于語音識別和無線傳感網絡的智能家居系統設計[J].計算機測量與控制. 2012, 20(1): 180-182.

[3] Gareth Jones1 and Emma C. Teeling. The evolution of echo?location in bats[J]. TRENDS in Ecology and Evolution.March 2006, 21(3): 149-156.

[4] M Ayub, M H Tiwana, A B Mann. Propagation of Sound in Duct with Mean Flow[J]. Commun Nonlinear Sci Numer Simulat, 2009(14): 3578-3590.

[5] 張曉戎,王程成,胡光波,等.混沌差分優化數據聚類及在故障診斷中的應用[J].壓縮機技術,2013, 6: 16-20.

[6] 袁永,段奇智,張毅,等.油井數據采集及高效DLL函數數據傳輸性能實現[J].計算機與數字工程,2013, 41(10):1628-1631. 
低速無人駕駛產業綜合服務平臺版權與免責聲明:

凡本網注明[來源:低速無人駕駛產業綜合服務平臺]的所有文字、圖片、音視和視頻文件,版權均為低速無人駕駛產業綜合服務平臺獨家所有。如需轉載請與0755-85260609聯系。任何媒體、網站或個人轉載使用時須注明來源“低速無人駕駛產業綜合服務平臺”,違反者本網將追究其法律責任。

本網轉載并注明其他來源的稿件,均來自互聯網或業內投稿人士,版權屬于原版權人。轉載請保留稿件來源及作者,禁止擅自篡改,違者自負版權法律責任。

如涉及作品內容、版權等問題,請在作品發表之日起一周內與本網聯系,否則視為放棄相關權利。

關注低速無人駕駛產業聯盟公眾號獲取更多資訊

最新新聞